Нефть и песок О стали Компрессор - подбор и ошибки Из истории стандартизации резьб Соперник ксерокса - гектограф Новые технологии производства стали Экспорт проволоки из России Прогрессивная технологическая оснастка Цитадель сварки с полувековой историей Упрочнение пружин Способы обогрева Назначение, структура, характеристики анализаторов Промышленные пылесосы Штампованные гайки из пружинной стали Консервация САУ Стандарты и качество Технология производства Водород Выбор материала для крепежных деталей Токарный резец в миниатюре Производство проволоки Адгезия резины к металлокорду Электролитическое фосфатирование проволоки Восстановление корпусных деталей двигателей Новая бескислотная технология производства проката Синие кристаллы Автоклав Нормирование шумов связи Газосварочный аппарат для тугоплавких припоев
Главная --> Промиздат -->  Map principle 

1 2 3 4 5 6 7 8 9 10 11 12 13 14 15 16 17 18 19 20 21 22 23 24 25 26 27 28 29 30 31 32 33 34 35 36 37 38 39 40 41 42 43 44 45 46 47 48 49 50 51 52 53 54 55 56 57 58 59 60 61 62 63 64 65 66 67 68 69 70 71 72 73 74 75 76 77 78 79 80 81 82 83 84 85 86 87 88 89 90 91 92 93 94 95 96 97 98 99 100 101 102 103 104 105 106 107 108 109 110 111 112 113 114 115 116 117 118 119 ( 120 ) 121 122 123 124 125 126 127

APPENDIX B: Selected equations used in GRASS modules Partial derivatives for trivariate RST :


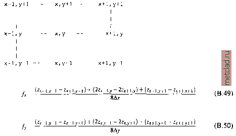
In r.slope.aspect second order polynomial approximation of a surface defined by given point and its 3x3 neighborhood is used leading to the following equations for the partial derivatives (as used in Horns formula, Horn, 1981):

By fitting this polynomial to the 9 grid points (the given point (x,y) and its 3x3 neighborhood, as shown below), using weighted least squares) we can derive the coefficient of this polynomial as well as its partial derivatives (fx = a\,fy = a2, fxx = 2a4, fyy = la%, fxy = 03) while using weight Wk = d,, dl = {x-xi,f + {y-ykf-.


Let us denote + Zx,y-л - 2zx,y an + Zx-i,y - 2zx,y Then we can write

. P(8, >4 1) + {4zx-1 ,y + 4zx+1 ,y - Szx,y) + D(5, у - 1)

fyy -

0(д: - 1,8) + {4zx,y+1 + 4zx,y-1 - Zx,y) +0{х+1,8)

12(Ay)2

(Zy-l,.t-l Zy-l+l) -ZyAr\,x+\)

ASxHiy

(B.51) (B.52) (B.53)

where is the elevation value at row y column x, is the east-west grid spacing and is the north-south grid spacing (resolution).




Solar geometry.

Declination d [rad]:

6 arcsin(0.3978 sin(y - 1.4 + 0,0355 sin(i - 0.0489)))

(B.54)

where:

j - Шау1ЪЬЬ2Ъ [rad]

Position of the sun in respect to a horizontal plane:

sinhQ = Сэ1 cos 7 ( c33

where:



Position of the sun in respect to an inclined plane:

sin Ъехр = COS(r - A.) I C33

where:

= cos фcos 6 C33 = sin фsin 5

81Пф = ~С08ф 1пулСО8Лл+81пфСО 7л

tanX, = . i Tv?i A;,

sin <p sin Vai COS Ад!+COS (pCOSyv Sunrise/sunset over a horizontal plane:

Sunrise/sunset over an inclined plane:

(B.57)



B.4. INSOLATION

Equations for computation of solar energy related parameters used in r.sun (Hofierka, 1997b, Hofierka and Suri, 2002b, further citations in the manual page of r.sun). The clear-sky solar radiation model applied in this module is based on the work undertaken for development of European Solar Radiation Atlas (Scharmer and Greif (eds), 2000, Page et al., 2001, Rigollier et al., 2000).



Extraterrestrial irradiance on a plane perpendicular to the solar beam Go [W/m].

where:

e 1 + 0.03344cos(7 -0.048869)

values j and 0.048869 are in radians.

Extraterrestrial irradiance on a horizontal plane Оол [W/m].

Go;, = GoSin/lo (B.61)

Beam irradiance on a horizontal plane fW/m].

where:

АЛо = 0.0613.59(0.1594 + 1.123йо + 0.065656Л)/(I + 28.9344йо 4 277.3971g)

га = (/7/po)/(sinftS- + 0.50572(fto + 6.07995) )

where values \\ and 6.07995 are in degree 8л(т) = 1/(6.62964 1.7513m-0.12O2m2 + 0.O065w-0.00O13m*)

if m < 20

5к(т) = 1/(10.4 h 0.718m) ifm>20

Beam irradiance on an inclined plane

B,. = Goe(- - S( sin8,. Diffuse irradiance on a horizontal plane В/, [W/m].

(B.63)

where:

Tn{TLK) = -0.015843 + 0.030543 Г/.л: 4-0.0003797 fdiho) =Ai 4 A2sin/io4 Ajsin/jo A\ = 0.26463 - 0.06158irz,if + 0.003140872 A, = 0.0022/rn(r/.jf)

Аг = 2.04020 + 0.018945 Г. + 0.011161 72 Лз = -1.3025 4 0.039231 Пк + 0.0085079 7

/а; Гп(ад< 0.0022 i/Al Tn{TLK) > 0.0022






1 2 3 4 5 6 7 8 9 10 11 12 13 14 15 16 17 18 19 20 21 22 23 24 25 26 27 28 29 30 31 32 33 34 35 36 37 38 39 40 41 42 43 44 45 46 47 48 49 50 51 52 53 54 55 56 57 58 59 60 61 62 63 64 65 66 67 68 69 70 71 72 73 74 75 76 77 78 79 80 81 82 83 84 85 86 87 88 89 90 91 92 93 94 95 96 97 98 99 100 101 102 103 104 105 106 107 108 109 110 111 112 113 114 115 116 117 118 119 ( 120 ) 121 122 123 124 125 126 127